RESEARCH PAPER
Figure from article: Survivability of...
 
KEYWORDS
TOPICS
ABSTRACT
Introduction and objective:
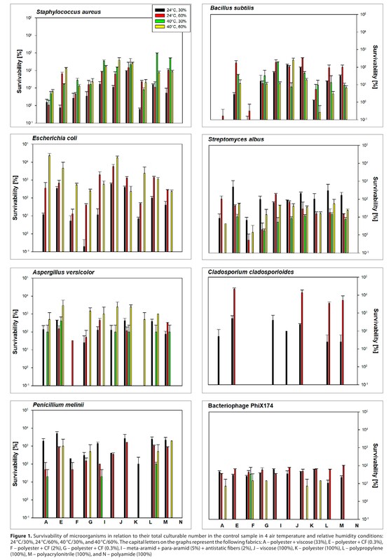
The appropriate selection of the type, composition and finish of textile materials under specific conditions of temperature and humidity influences the possibility of their microbial colonization. The aim of the study is to test the survivability of microorganisms on textile materials in different microclimate conditions.

Material and methods:
To test the survivability of bacteria (Staphylococcus aureus, Escherichia coli, Bacillus subtilis, and Streptomyces albus), virus (bacteriophage PhiX174), and fungi (Cladosporium cladosporioides, Aspergillus versicolor, and Penicillium melinii), five man-made (viscose) and synthetic (polyester, polypropylene, polyacrylonitrile, polyamide) fabrics made of homogeneous fibres (100% the same fibres), as well as five fabrics made of mixed fibres (i.e. polyester with addition of viscose, carbon, aramid, and anti-static fibres) kept in low (60%) humidity and at room (~24 °C) and elevated (~40 °C) temperature of the air were used.

Results:
The study showed different microbial survivability patterns. In the case of bacteria and bacteriophage, fibre admixtures added to synthetic materials usually reduced their survivability. In the case of fungi, synthetic, mainly polyester, as well as doped polyacrylonitrile and polyamide materials, supported the survivability of their conidia.

Conclusions:
Under specific microclimatic conditions, the textile material can be selected in a way that limits the survivability of harmful microorganisms, which may be deposited on it. And vice versa, by changing the microclimatic conditions when wearing clothes made of a specific fabric, one can ensure that the presence of microorganisms will be eliminated or at least their survivability will be significantly reduced.
FUNDING
The study evolved from the results obtained from research carried out within the scope of the 6th stage of the ‘Governmental Programme for Improvement of Safety and Working Conditions’, funded by the resources of the National Centre for Research and Development (Task No. I.PN.12: ‘Electrostatic shields – modern methods of protection against infectious agents’). Programme main co-ordinator: The Central Institute for Labour Protection – National Research Institute (CIOP-PIB) in Warsaw, Poland
REFERENCES (30)
1.
Gulati R, Sharma S, Sharma RK. Antimicrobial textile: recent developments and functional perspective. Polym Bull (Berl). 2022;79(8):5747–5771. https://doi.org/10.1007/s00289....
 
2.
Orasugh JT, Temane LT, Kesavan Pillai S, et al. Advances of nanotechnology in fabric and clothing. ACS Omega. 2025;10(13):12772–12816. https://doi.org/10.1021/acsome....
 
3.
Granados A, Pleixats R, Vallribera A. Recent advances on antimicrobial and anti-inflammatory cotton fabrics containing nanostructures. Molecules. 2021;26:3008. https://doi.org/10.3390/molecu....
 
4.
Pal A, Kumar R, Tripathi YC. Antifungal finishing of fabrics with natural dyes from aerial biomass of P. frutescens (L.) Britton. Int J App Pharm Sci Res. 2021;6(1):8–14. https://doi.org/10.21477/ijaps....
 
5.
Sanders D, Grunden A, Dunn RR. A review of clothing microbiology: The history of clothing and the role of microbes in textiles. Biol Lett. 2021;17:20200700. https://doi.org/10.1098/rsbl.2....
 
6.
Tari S, Athalye A. Anti-germ and hygiene finishing of textiles for human health and safety. Modern Chem App. 2023;11(4):425. https://doi.org/10.35248/2329-....
 
7.
Bibi A, Afza G, Afzal Z, et al. Synthetic vs. natural antimicrobial agents for safer textiles: A comparative review. RSC Adv. 2024;14:30688. https://doi.org/10.1039/d4ra04....
 
8.
Ramya P, Prakash C. Antimicrobial finish in textiles. J Text Assoc. 2024;85(2):127–133. https://doi.org/10.5281/zenodo....
 
9.
Yeo M, Lee Y, Kwon K, et al. Antimicrobial effects of copper fibre content in polyester fabrics. Korean J Microbiol. 2024;60:83–91. https://doi.org/10.7845/kjm.20....
 
10.
Hussein UA-R, Mahmoud ZH, Abd Alaziz KM, et al. Antimicrobial finishing of textiles using nanomaterials. Braz J Biol. 2024;84:e264947. https://doi.org/10.1590/1519-6....
 
11.
Vojnits K, Mohseni M, Parvinzadeh Gashti M, et al. Advancing antimicrobial textiles: A comprehensive study on combating ESKAPE pathogens and ensuring user safety. Materials. 2024;17:383. https://doi.org/10.3390/ma1702....
 
12.
Hasan T, Hossen R, Rimon IH, et al. Advances of nanotechnology in fabric and clothing. Nano Trends. 2025;11:100140. https://doi.org/10.1016/j.nwna....
 
13.
Akca C. The waste problem of antimicrobial finishing. Waste in Textile and Leather Sectors. IntechOpen; 2020. http://dx.doi.org/10.5772/inte... (access: 2025.10.10).
 
14.
Arenas-Chávez CA, de Hollanda LM, Arce-Esquivel AA, et al. Antibacterial and antifungal activity of functionalized cotton fabric with nanocomposite based on silver nanoparticles and carboxymethyl chitosan. Processes. 2022;10:1088. https://doi.org/10.3390/pr1006....
 
15.
Abo-Elmaaref M, Marouf M, Mohamed WS, et al. Antifungal and consolidation properties of linen textiles treated with silver nanoparticles loaded on hydroxypropyl cellulose polymer. Herit Sci. 2023;11:120. https://doi.org/10.1186/s40494....
 
16.
Kamel MY, Hassabo AG. Anti-Microbial Finishing for Natural Textile Fabrics. J Text Color Polym Sci. 2021;18(2):83–95. https://doi.org/10.21608/jtcps....
 
17.
Wen J, Khan AD, Sartorelli JB, et al. Aqueous-based continuous antimicrobial finishing of polyester fabrics to achieve durable and rechargeable antibacterial, antifungal, and antiviral functions. J Ind Eng Chem. 2022;107:249–258. https://doi.org/10.1016/j.jiec....
 
18.
Chruściel JJ, Olczyk J, Kudzin MH, et al. Antibacterial and antifungal properties of polyester, polylactide, and cotton nonwovens and fabrics,by means of stable aqueous dispersions containing copper silicate and some metal oxides. Materials. 2023;16:5647. https://doi.org/10.3390/ma1616....
 
19.
Tanasa F, Teaca C-A, Nechifor M, et al. Highly specialized textiles with antimicrobial functionality—advances and challenges. Textiles. 2023;3:219–245. https://doi.org/10.3390/textil....
 
20.
Murray PR, Rosenthal KS, Pfaller MA. Medical microbiology. 10th ed. Elsevier LTD; 2025.
 
21.
St-Germain G, Summerbell R. Identifying fungi: A clinical laboratory handbook. 2nd ed. Star Publishing Company, Inc.; 2011.
 
22.
Weyersberg L, Sommerfeld F, Vatter P, et al. UV radiation sensitivity of bacteriophage PhiX174 – A potential surrogate for SARS-CoV-2 in terms of radiation inactivation. AIMS Microbiol. 2023;9(3):431–443. https://doi.org/10.394/microbi....
 
23.
Polish Standard PN-EN 12127:2000 Textiles – Fabrics – Determination of mass per unit area using small samples. The Polish Committee for Standardization, 2000.
 
24.
Polish Standard PN-EN ISO 5084:1999 Textiles – Determination of thickness of textiles and textile products. The Polish Committee for Standardization; 1999.
 
25.
Polish Standard PN-EN ISO 9237:1998 Textiles – Determination of permeability of fabrics to air. The Polish Committee for Standardization; 1998.
 
26.
Jekiel K, Syguła-Cholewińska J. Assessment of different detection methods in bacteria survival on cotton and polyester textiles. J Nat Fibres. 2025;22(1):2437533. https://doi.org/10.1080/154404....
 
27.
International Standard ISO 22196: Plastics – Measurement of antibacterial activity on plastic surfaces. International Organization for Standardization; 2011.
 
28.
Pereira-Silva P, Borges J, Sampaio P. Recent advances in metal-based antimicrobial coatings. Adv Colloid Interface Sci. 2025;344:103590. https://doi.org/10.1016/j.cis.....
 
29.
Abu Bakar NH, Wan Ismail WN, Umair M. Antimicrobial textile coatings with strategies for long-term performance and environmental safety. Adv Nanocomposites. 2025;2:299–321. https://doi.org/10.1016/j.adna....
 
30.
Mainelis G, Willeke K, Baron P, et al. Electrical charges on airborne microorganisms. J Aerosol Sci. 2001;32(9):1087–1110. https://doi.org/10.1016/S0021-....
 
eISSN:1898-2263
ISSN:1232-1966
Journals System - logo
Scroll to top